Change of Cooking Characteristics of Chickpea (Cicer arietinum L.) Varieties under Different Fertilization Conditions
Cambio en las Características de Cocción de Variedades de Garbanzo (Cicer arietinum L.) Bajo Diferentes Condiciones de Fertilización
Sibel Ipekesen1* ; B. Tuba Bi̇cer1
.
1. Dicle University, Faculty of Agriculture, Department of Field Crops, Diyarbakir.
*Corresponding author: Sibel Ipekesen, email: sibelisikten@gmail.com
Información del artículo:
Artículo original
DOI: https://doi.org/10.33975/riuq.vol35n1.1150
Recibido: 6 marzo 2023; Aceptado: 19 abril 2023
ISSN: 1794-631X e-ISSN: 2500-5782
Esta obra está bajo una licencia Creative Commons Atribución-NoComercial-SinDerivadas 4.0 Internacional.
Cómo citar: Ipekesen, Sibel., & Tuba Bi̇cer, B. (2023). Change of cooking characteristics of chickpea (Cicer arietinum L.)varieties under different fertilization conditions. Revista de Investigaciones Universidad del Quindío, 35(1), 194-206. https://doi.org/10.33975/riuq.vol35n1.1150
ABSTRACT
In this research, the effects of different nutrient source used for soil fertilization were detected on cooking characters of chickpea varieties. The field experiment was conducted in 2020 growing seasons. The experiment was designed randomized complete blocks in split plots with three replications. In study, it was used Arda, Gokce and local chickpea varieties in main plots. Four organic manures, one biofertilizer and chemical fertilizer (T0: control group, T1: 5 t.ha-1 ovine manure, T2: 5 t.ha-1 cattle manure, T3: 10.000 cc ha-1 liquid vermicompost, T4: 3 t.ha-1 chicken manure, T5: bacteria (Rhizobium ciceri) and T6: 50 kg ha-1 N, 90 kg ha-1 P) were in the sub plots. Comparison of two-way ANOVA test showed that fertilization treatments were no significant for all seed technological characters except for cooking time. Two-way ANOVA test revealed that chickpea varieties was determined superior than treatment and variety * treatment interaction on all characters except for swelling capacity and index. Dry weight, wet weight, dry volume, wet volume and hydration capacity traits varied depending on varieties. The liquid vermicompost treatment (Arda: 38.67 min) and chemical fertilizer (local variety: 40.00 min) showed the shortest cooking time than the other nutrient sources. On the contrary, local variety had the longest cooking time in ovine manure.
Keywords: Chickpea, seed volume, cooking time, organic manure, chemical fertilizer.
RESUMEN
En esta investigación, se detectaron los efectos de diferentes fuentes de nutrientes utilizadas para la fertilización del suelo sobre los caracteres de cocción de las variedades de garbanzo. El experimento de campo se realizó en las temporadas de crecimiento de 2020. El experimento se diseñó en bloques completos al azar en parcelas divididas con tres repeticiones. En estudio, se utilizaron variedades de garbanzos Arda, Gokce y locales en las parcelas principales. Cuatro abonos orgánicos, un biofertilizante y fertilizante químico (T0: grupo control, T1: 5 t.ha-1 estiércol ovino, T2: 5 t.ha-1 estiércol vacuno, T3: 10.000 cc ha-1 vermicompost líquido, T4: 3 t.ha-1 de gallinaza, T5: bacterias (Rhizobium ciceri) y T6: 50 kg ha-1 N, 90 kg ha-1 P) en las subparcelas. La comparación de la prueba ANOVA de dos vías mostró que los tratamientos de fertilización no fueron significativos para todos los caracteres tecnológicos de las semillas, excepto para el tiempo de cocción. La prueba ANOVA de dos vías reveló que las variedades de garbanzo se determinaron superiores al tratamiento y la interacción variedad * tratamiento en todos los caracteres, excepto en la capacidad de hinchamiento y el índice. Las características de peso seco, peso húmedo, volumen seco, volumen húmedo y capacidad de hidratación variaron según las variedades. El tratamiento de vermicompost líquido (Arda: 38,67 min) y fertilizante químico (variedad local: 40,00 min) mostró el tiempo de cocción más corto que las otras fuentes de nutrientes. Por el contrario, la variedad local tuvo el mayor tiempo de cocción en el estiércol ovino.
Keywords: Garbanzo, volumen de semilla, tiempo de cocción, abono orgánico, abono químico.
INTRODUCTION
Food legumes play a big role in diet programs of people, especially in those living under low economic conditions thanks to rich protein content. As chickpea is highly significant in the Mediterranean Basin for local diet, it is widely used in traditional farming practices. Although its seed protein ratio is low compared to other legumes, the amino acids of the protein profile are increased its nutritional value. Besides seed nutritional content, seed color, seed size and seed weight are also affected chickpea consumption. As some producers and consumers have no detailed information about cooking and the other technological characteristics of the newly bred chickpea varieties, they continue to prefer old local varieties, which have good adaptation. Therefore, comparing the technological features of registered and local chickpea varieties will contribute to both producers and consumers.
Chickpea quality is assessed by the physicochemical and cooking characteristics of seeds (Patane 2006). The variation in cooking quality is generally depends on climatic factors, soil type, variety, seed characteristics, seed composition and agronomic practices. The majority of the lands allocated for chickpea production in Turkey are calcareous, thus the cooking quality of the seed of the crops grown in these areas is generally low (Moraes et al., 2016). Sometimes, the nitrogen fertilizing of crops grown in soils that naturally have high pH and lime values adversely affect the cooking quality. Ovacikli (2009) reported that nitrogen fertilizers negatively affected cooking parameters such as hydration and the swelling index and seed weight. Some researchers also noted that compost and farmyard manure treatments positively the cooking time of chickpea seeds, while bacteria inoculate negatively cooking time (Mohammadi et al., 2010).
Cooking time, which is an important aspect of cooking quality, is a heritable characteristic that varies from genotype to genotype, however, environmental and storage conditions have a big role in cooking time (Reyes-Moreno et al., 2000; Yousif et al., 2007). Indeed, long cooking time is one of the most significant factors limiting the utilization of food legumes (Williams et al., 1983). As the longer cooking time requires more electricity or fuel, it is costly to processors and consumers. Additionally, the time required to cook a product is a significant quality feature, therefore, longer cooking times are undesirable. Consumers desire food legume products to cook quickly (Jacinto-Hernandez et al., 2003), and in this sense some breeders efforts to manufacture quick-cooking legumes (Sethi et al., 2011). Some factors directly affect the cooking time. For example, as the seed coat can prevent seed swelling during cooking, it is a physical obstacle to hydration capacity. Some researchers have reported that a thick seed coat delayed hydration and cooking in pulses (Wang et al., 2003; Avola and Patane, 2010). The other researchers stated that chickpea seeds hardly cook due to their seed size and chemical composition (Singh, 1999), however, the bean coat is thinner and easier to soften during cooking (Rockland and Jones, 1974). Several authors agree that the water imbibition speed deals with cooking dry pulses (Wood and Harden 2006; Avola and Patane, 2010).
This research aimed to compare the effect of different fertilizer treatments on 100 seeds weight, wet weight, dry volume, wet volume, swelling capacity and index, hydration capacity and cooking time in two registered and a local chickpea variety.
MATERIALS AND METHODS
Experimental design, seed material and fertilizers
The field experiment was conducted at Dicle University, Department of Field Crops, Faculty of Agriculture, Diyarbakir, Turkey. The experiment was set out randomized complete blocks designed in split plots with three replications. The plots were arranged in 4 m length and four rows. The distance between seeds within rows was 10 cm, and the spacing between rows was 45 cm. Two commonly grown Turkish chickpea varieties (Arda and Gokce), and one local variety, obtained from the surrounding villages of Diyarbakir were in main plots, and four organic manures and one biofertilizer were in subplots including (T0): control group, (T1):5 t.ha-1 ovine manure, (T2): 5 t.ha-1 cattle manure, (T3): 10.000 cc ha-1 liquid vermicompost, (T4): 3 t.ha-1 chicken manure and (T5): bacteria (Rhizobium ciceri) and chemical fertilizer (T6): 50 kg ha-1 N, 90 kg ha-1 P). The seeds were sown on February 20, 2021 in well-prepared seedbeds. Afterwards, ovine, cattle, chicken and NP fertilizers were directly treated to the soil after sowing. The nitrogen bacteria were inoculated on the seed with a 10% sugar water mix and the seeds dried before the sowing was conducted. Liquid vermicompost was treated to the soil with a pump after sowing. The farmyard manure and liquid vermicompost were analyzed for chemical and nutrient contents (Table 1).
Table 1. Fertilizer types and chemical contents.
|
Fertilizers Types |
|
|
Control Group |
0 |
|
Bacteria |
Rhizobium ciceri |
|
Ovine Manure |
Total Nitrogen:%4,98 Organic Matter:%68,3 Total P2O5:%0,03 |
|
Cattle Manure |
Total Nitrogen:%3,82 Organic Matter:%61,59 Total P2O5: %4 |
|
Chicken Manure |
Total Nitrogen:%4,09 Organic Matter:%57,89 Total P2O5:%0,03 |
|
Chemical Fertilizer (20-20-0 compound fertilizer) |
Total Nitrogen:%20 Ammonium Nitrate:%13 Neutral Ammonium Citrate:%6 Total P2O5:%14 Total SO3:%9 |
|
Liquid Vermicompost |
Total Nitrogen:%1 Organic Matter:%7 Organic Nitrogen:%0,2 |
Experimental soil properties and the climatic data
The soil of the experimental area was clay-loam textured and its pH value was 8.15. The soil was low in organic matter, nitrogen and phosphorus ratio, but it was quite rich in iron and calcium ratio. The total rainfall in the experiment year was 90.6 mm. The total rainfall (41.6 mm) in March is higher than in April and May (total: 8.4 mm), which is the flowering and pod-setting period during the fastest crop growth. Since the experimental year was exposed to a serious drought, the experimental area was irrigated with sprinkler irrigation at intervals of 15 days at field capacity.
The preparation of samples for cooking process
Seed weight, seed volume, seed density, hydration capacity, hydration index, swelling capacity, swelling index and cooking times were evaluated using the methods of Williams et al. (1983) and Gulumser et al. (2008).
Dry and wet weight: One-hundred seeds of each variety were weighed. Afterwards, the seeds were soaked in distilled water in glass containers for 16 h at room temperature. After pouring off the soaking water, the seeds were dried by absorbent paper and wet weights were recorded.
Dry and wet volume: It was added 50 ml distilled water to one-hundred chickpea samples in a 100 ml cylinder, and an observed value was recorded. After adding 50 ml of water to 100 chickpea samples and waiting for 6 h, they were dried by absorbent paper. Then, 100 ml-distilled water was added, and observed value was recorded.
Swelling capacity and swelling index: The following formulas were taken into account:
Swelling Capacity (ml/seed) = [(wet vol.-100) – (dry vol. – 50)] – [dry vol. – 50/100) * non-swelling seeds] / 100–non-swelling seeds.
Swelling index: Swelling Index = wet volume – 100 / dry volume – 50.
Hydration capacity (%): The following formula was taken into account:
Hydration capacity (g/seed) = [(wet weight – dry weight) * (dry weight / 100) * number of non-swelling seeds] / 100 – number of non-swelling seeds.
Cooking time: Cooking time was determined using swelled seeds with hydration. It was added to the seeds in heat resistant glass containers with 150 ml boiling water. Cooking was finished when the color of 80% to 100% of cotyledon altered fully from whitish yellow to yellow due to gelatinization (Badshah et al., 2006; Khattak et al., 2007). Seeds were observed after 30 min boiling for checking colours and this process continued every 5 min.
Statistical analysis
Statistical analysis was performed by two way ANOVA. The means were separated by Tukey (HSD) using IBM Statistical SPSS-25 software, also graphs created by this program. The scatter plot matrix was obtained from the JumpPro-13 statistical package program.
RESULTS AND DISCUSSION
Varieties were the main source of variation for dry weight, wet weight, dry volume, and hydration capacity traits according to two-way ANOVA. The treatments and varieties were the source of variation for the wet volume. However, the variation was not detected for swelling capacity and index. Conversely, all source variations were significant for cooking time (p≤0.01).
Table 2. Two-way ANOVA for seed cooking characters
|
Dry weight (g/100seed) |
|||||
|
Source of variations |
DF |
Sum of Squares |
Mean Square |
F |
Sig. |
|
Treatments |
6 |
19,890 |
3,315 |
1,007 |
0,434 ns |
|
Varieties |
2 |
780,272 |
390,136 |
118,500 |
0,000** |
|
Treatments * Varieties |
12 |
46,451 |
3,871 |
1,176 |
0,331 ns |
|
Error |
42 |
138,277 |
3,292 |
||
|
Wet weight (g/100 seeds) |
|||||
|
Source of variations |
DF |
Sum of Squares |
Mean Square |
F |
Sig. |
|
Treatments |
6 |
83,099 |
13,850 |
0,977 |
0,453 ns |
|
Varieties |
2 |
3722,398 |
1861,199 |
131,279 |
0,000 ** |
|
Treatments * Varieties |
12 |
196,772 |
16,398 |
1,157 |
0,344 ns |
|
Error |
42 |
595,453 |
14,177 |
||
|
Dry volume (ml/100 seeds) |
|||||
|
Source of variations |
DF |
Sum of Squares |
Mean Square |
F |
Sig. |
|
Treatments |
6 |
70,635 |
11,772 |
1,084 |
0,387 ns |
|
Varieties |
2 |
357,079 |
178,540 |
16,444 |
0,000 ** |
|
Treatments * Varieties |
12 |
140,698 |
11,725 |
1,080 |
0,401 ns |
|
Error |
42 |
456,000 |
10,857 |
||
|
Wet volume (ml/100 seeds) |
|||||
|
Source of variations |
DF |
Sum of Squares |
Mean Square |
F |
Sig. |
|
Treatments |
6 |
122,159 |
20,360 |
1,738 |
0,136 ns |
|
Varieties |
2 |
681,175 |
340,587 |
29,075 |
0,000 ** |
|
Treatments * Varieties |
12 |
292,603 |
24,384 |
2,082 |
0,040 * |
|
Error |
42 |
492,000 |
11,714 |
||
|
Swelling capacity (%) |
|||||
|
Source of variations |
DF |
Sum of Squares |
Mean Square |
F |
Sig. |
|
Treatments |
6 |
0,004 |
0,001 |
0,333 |
0,916 ns |
|
Varieties |
2 |
0,007 |
0,003 |
1,750 |
0,186 ns |
|
Treatments * Varieties |
12 |
0,027 |
0,002 |
1,167 |
0,337 ns |
|
Error |
42 |
0,080 |
0,002 |
||
|
Swelling index (%) |
|||||
|
Source of variations |
DF |
Sum of Squares |
Mean Square |
F |
Sig. |
|
Treatments |
6 |
0,242 |
0,040 |
0,669 |
0,675 ns |
|
Varieties |
2 |
0,369 |
0,184 |
3,063 |
0,057 ns |
|
Treatments * Varieties |
12 |
1,020 |
0,085 |
1,413 |
0,198 ns |
|
Error |
42 |
2,527 |
0,060 |
||
|
Hydration capacity (%) |
|||||
|
Source of variations |
DF |
Sum of Squares |
Mean Square |
F |
Sig. |
|
Treatments |
6 |
82,359 |
13,726 |
0,977 |
0,453 ns |
|
Varieties |
2 |
3689,289 |
1844,645 |
131,320 |
0,000 ** |
|
Treatments * Varieties |
12 |
194,981 |
16,248 |
1,157 |
0,344 ns |
|
Error |
42 |
589,970 |
14,047 |
||
|
Cooking time (min) |
|||||
|
Source of variations |
DF |
Sum of Squares |
Mean Square |
F |
Sig. |
|
Treatments |
6 |
727,206 |
121,201 |
21,035 |
0,000 ** |
|
Varieties |
2 |
718,381 |
359,190 |
62,339 |
0,000 ** |
|
Treatments * Varieties |
12 |
1451,841 |
120,987 |
20,998 |
0,000 ** |
|
Error |
42 |
242,000 |
5,762 |
||
Note: **, *; significant at the 0.01 and 0.05 probability levels, respectively. ns: Non-significant.
ANOVA revealed the similar hierarchy of significant in sources of variation for the dry weight, wet weight and dry volume (Varieties>Treatments*Varieties> Treatments). However, wet volume and hydration capacity showed the decreasing order of influence (Varieties>Treatments*Varieties>Treatments). Besides, cooking time demonstrated a significant order of influence: Varieties>Treatments>Treatment*Varieties (Table 2).
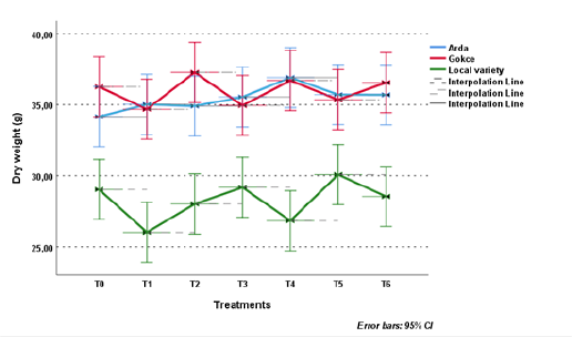
Figure 1. The profile plots for dry and weight obtained from two-way variance analysis. T0: Control group, T1: Ovine manure, T2: Cattle manure, T3: Liquid vermicompost, T4: Nitrogen solvent bacteria, T5: 20-20-0 compound fertilizer, T6: Chicken manure. The interpolation line estimates the values of existing numeric values at blank points. Error bars show the standard error of the mean of treatments at 0.05 level based on Tukey’s multiple comparison test.
Varieties had a significant effect on dry seed weight, while treatments and treatment*varieties interaction had not its. Seed weight of different chickpea varieties changed significantly, with a mean value of 33.21 g/100 seeds. The highest seed weight was in the Gokce variety (37.27 g/100 seeds), inversely the lowest seed weight was in local variety (26.02 g/100 seeds) (Fig. 1).
Figure 2. The profile plots for dry volume obtained from two-way variance analysis.
The highest wet weight was in the Gokce variety (80.19 g), and the lowest was in the local variety (55.55 g/100 seeds). The mean value for wet weight was 71.58 g/100 seeds (Fig. 1). Similarly, Ovacikli (2009) reported that nitrogen fertilizer treatments had no considerable effect on dry weight. Also, Kaur et al. (2005) stated that the seed weight varied depending on the varieties.
Figure 3. The profile plots for swelling capacity and index obtained from two-way variance analysis.
The Arda variety had the highest dry seed volume (84.00 ml/100 seeds), the local variety had the lowest dry seed volume (70.67 ml/100 seeds). The wet seed volume varied significantly depend upon chickpea variety and treatment*variety interaction (Fig. 2). Arda variety had the highest seed volume (165.00 ml/100 seeds) in 5 t. ha-1 ovine manure treatments. The local variety had the lowest seed volume (151.67 ml/100 seeds) in the same treatment, and the local variety for seed volume was lower than the experiment mean values (159.75 ml/100 seeds) (Fig. 2).
Ovine manure (5.0 t ha-1) positively affected the wet volume and values varied depending on the variety and treatment x variety interaction. Kaya et al. (2016) and Kaur et al. (2006) determined that the dry and wet volumes of chickpea seeds had significant differences and a genetic factor of the seed volume.
The water absorption traits of legumes are measured to test roughly the relative cooking time of samples. Swelling capacity is defined as the relative increase in seed volume after soaking (Wood and Harden, 2006). In research, swelling capacity and swelling index were not affected by sources of variation (Table 2; Fig. 3). The mean swelling capacity and swelling index values were 0.32 %and 2.25%, respectively. Kaur et al. (2005) reported swelling capacity/seed and swelling index for different chickpea cultivars ranged between 0.11–0.23 and 103.1–136.5, respectively. Singh et al. (1992) reported similar values for swelling capacity and swelling index in different chickpea cultivars.
Figure 4. The profile plots for hydration capacity obtained from two-way variance analysis.
Hydration capacity is stated as the percent enhancement in seed weight after soaking (Wood and Harden, 2006). Nowadays, the hydration capacity is used as a marker cooking time of the varieties in the routine screening of legume breeding programs. In our research, the mean value of hydration capacity was 71.25%. The highest value was in the Gokce variety with 79.82%, but the lowest value was in the local variety with 55.28% (Fig. 4).
The local variety seeds were smaller than the other varieties; therefore, hydration capacity was low. Earlier researchers reported that hydration capacity was not significant in chickpea varieties (Sarimurat et al., 2022) and treatment*variety interaction (Ovacikli, 2009). On the other hand, Coskuner and Karababa (2003) and Singh et al. (1986) stated that hydration capacity differed in genotypes, locations and treatments, and the genotypes had unique seed characteristics. Williams et al. (1983) reported that among different chickpea varieties was mean swelling capacity, swelling index, hydration capacity and hydration index of 0.361, 159, 0.346 and 179, respectively.
The cooking time significantly was affected by all sources of variation (Table 2). The shortest cooking time was in the Arda variety (38.67 min). The longest cooking time was in local variety (63.33 min) (Fig. 5). The longer cooking time could be associated to seed size and weight, as seed size was determine the interval to water penetrate for arriving at the innermost part of seeds. In other words, the difference in cooking times in pulses can be related to the rate cell separation occurs for relaxation of the intercellular matrix of the middle lamella on cooking (Rockland and Jones, 1974). Liquid vermicompost treatment (T3: 1000 cc ha-1) decreased cooking time of chickpea seed, but ovine manure (T1: 5 t ha-1) treatment delayed cooking time (Fig. 5).
Figure 5. The profile plots for cooking time obtained two-way variance analysis.
Mohammadi et al. (2010) detected that chemical fertilizer treatments increased cooking time (66 min) compared to compost and farmyard manure. On the other hand, in our study, it was determined that chemical fertilizer treatment (50 kg ha-1 N, 90 kg ha-1 P) on the local variety reduced the cooking time of chickpeas (40.00 min). Also, 3 t. ha-1 chicken manure (T4) shortened the cooking time of the same variety (42.00 min) (Fig. 5). Researchers have reported that the cooking time (between 62.4-95.0 min) was considerably depend on chickpea varieties (Kaur et al., 2003), and the Ca and Mg in the seeds may cause difficulties in cooking legumes (Reyes-Moreno and Paredes Lopes, 1993).
The evaluation of the relationship between characters by correlation analysis
The scatter plot matrix shows that there is a weak relationship between the features when the distribution in the form of a dust cloud in the graph represents the relationship between any two features or the absence of a regular clustering on the regression curve. On the contrary, regular the distribution and clustering on the regression curve prove that there is a strong relationship between these two features.
Figure 6. Correlation analysis between cooking characters by scatterplot matrix
According to scatterplot matrix, a strong positive correlation of wet weight and dry weight (r2= 0.926, p≤0.01). Similarly, positive and significant correlations were between dry volume with dry weight and wet weight (r2= 0.9765, p≤0.01), between wet volume with dry weight (r2=0.7081, p≤0.01), dry volume and wet weight (r2= 0.6274, p≤0.01) (Fig. 6).
However, negative correlation was detected that between swelling capacity with dry volume was significantly (r2= 0.0310, p≤0.05), between swelling capacity and wet volume positive correlated (r2= 0.3596, p≤0.01). Swelling index and dry weight, wet weight (r2= -0.3155 and r2= -0.3155,-0.2878, p≤0.05), and dry volume (r2= -0.7796, p≤0.01) was found negative correlation. Between swelling index and swelling capacity was determined a positively and significantly correlation (r2= 6551,-0.2878, p≤0.01) (Fig. 6).
Between hydration capacity with dry weight, wet weight, dry volume and wet volume (r2= 0.9763, 1.0000, 0.6273, 0.7123, p≤0.01), conversely between hydration capacity and swelling index was negatively significant correlation (r2= -0.2877, p≤0.05) (Fig. 6). Kaur et al (2005) reported that a strong positive correlation of seed weight with hydration capacity and swelling capacity was observed, and seed volume had a highly significant positive correlation with swelling and hydration capacity (Fig. 6).
The cooking time and all the characters examined were not correlated (Fig. 6). Similarly, Tripathi et al. (2012) detected no significant correlations between cooking time with hydration or swelling properties. Cichy et al. (2014) reported a weak association between hydration and cooking time. On the other hand, Ibarz et al. (2004) and Kaur et al. (2005) reported that correlations between cooking time and seed traits were detected. Ibarz et al. (2004) reported that correlation between cooking time and hydration capacity was negative, Kaur et al. (2005) stated that a significant positive correlation of cooking time with seed weight, and a negative correlation hydration index with seed volume and swelling capacity.
CONCLUSION
The variations were detected in cooking parameters of different chickpea varieties. Local variety with low seed weight and hydration capacity had lower cooking time than the other varieties in chemical treatment. However, this chickpea variety had longest cooking time 5 t. ha-1 ovine manure treatment. The Arda variety showed the shortest cooking time liquid vermicompost treatment. Producers and consumers widely prefer local chickpea varieties due to the low cooking time. However, in our research, the minimum cooking time of the Arda variety may be increase its preferability. The reducing the cooking time of nutritional supplements as well as varieties will contribute to the usability of these fertilizers in cultivating.
Acknowledgements: The study was carried out within the scope of organic agriculture in the Higher Education Council 100/2000 priorityareas.
Conflict of interest: There is no conflict of interest between the authors involved in this study.
Contribution by author: Author 1: Responsible for organizing collected data, using statistical program and other techniques to analyze data, visualization, writing and original drafting. Author 2: Responsible for oversight and leadership for the design and development of methodology, planning and execution of research activity, review, editing and verification.
Funding or funds: Produced from the first author's doctoral thesis, this study financially supported by Dicle University Scientific Research Projects Coordination Unit with projectnumber: ZIRAAT.21.006.
REFERENCES
Avola, G., and Patane, C. (2010). Variation among Physical, Chemical and ` Technological Properties in Three Sicilian Cultivars of Chickpea (Cicer arietinum L.). Int. J. Food Sci. Technol. 45:2565-2572.
Badshah, A., Gul, S. S. K., Zahid, M., Bibi, N., and Ihsanullah, I. (2006). Study of Selected Quality and Agronomic Characteristics and Their Interrelationship in Kabuli Type Chickpea Genotypes (Cicer arietinum L.). International Journal of Food Science and Technology, 4.
Cichy, K., Fernandez, A., Kilian, A., Kelly, J., Galeano, C., Shaw, S., Brick, M., Hodkinson, D., and Troxtell, E. (2014). QTL Analysis of Canning Quality and Color Retention in Black Beans (Phaseolus vulgaris L.). Mol. Breed. 33:139-154.
Coskuner, Y., and Karababa, E. (2003). Effect of Location and Soaking Treatments on The Cooking Quality of Some Chickpea Breeding Lines. International journal of food science & technology, 38(7), 751-757.
García‐Vela, L. A. and Stanley, D. W. (1989). Water‐holding Capacity in Hard‐To‐Cook Beans (Phaseolus vulgaris): Effect of Ph and Ionic Strength. J. Food Sci., 54: 1080
Gulumser, A., Bozoglu, H. and Pesken E. (2008). Edible Legumes (Application Book), 2nd edition, OMU Faculty of Agriculture, Samsun.
Ibarz, A., González, C., and Barbosa-Cánovas, G. V. (2004). Kinetic Models for Water Adsorption and Cooking Time in Chickpea Soaked and Treated By High Pressure. Journal of Food Engineering, 63(4), 467-472.
Jacinto-Hernandez, C., Azpiroz-Rivero, S., Acosta-Gallegos, J. A., Hernandez-Sanchez, H., and Bernal-Lugo, I. (2003). Genetic Analysis and Random Amplified Polymorphic DNA Markers Associated with Cooking Time in Common Bean. Crop Sci. 43:329-332
Kaur, M., Singh, N., and Sodhi, N. S. (2005). Physicochemical, Cooking, Textural and Roasting Characteristics of Chickpea (Cicer arietinum L.) cultivars. Journal of Food Engineering, 69(4), 511-517.
Kaya, M., Karaman, R., and Capar, M. (2016). Evaluation for Some Quality and Technological Properties of Grown Chickpea Genotypes in the Lake District provincials. Field Crops Central Research Institute, 25(1), 184-190
Khattak, A. B., Zeb, A., Khan, M., Bibi, N., and Khattak, M. S. (2007). Influence of Germination Techniques on Sprout Yield, Biosynthesis of Ascorbic Acid and Cooking Ability, in Chickpea (Cicer arietinum L.). Food chemistry, 103(1), 115-120.
Mohammadi, K., Ghalavand, A., and Aghaalikhani, M. (2010). Effect of Organic Matter and Biofertilizers on Chickpea Quality and Biological Nitrogen Fixation. International Journal of Agricultural and Biosystems Engineering, 4(8), 578-583.
Moraes, J. F. L., Bellingieri, P. A., Fornasieri Filho, D. and Galon, J. A., (2006). Effect of Lime and Gypsum Rates on Beans (Phaseolus vulgaris L.)cv. Caioca-80, Sci. Agric., 55 (3), 438-447.
Ovacikli, (2009).The Effect of Increasing Rates and Different Forms of Nitrogen Applications on Yield, Yield Components and Quality in Common Bean. Master thesis, Eskisehir Osmangazi University.
Patane´ C (2006). Variation and Relationship among Some Nutritional Traits in Sicilian Genotypes of Chickpea (Cicer arietinum L.). J Food Qual., 29:282–293.
Reyes-Moreno, C., Okamura-Esparza, J., Armienta-Rodelo, E., Gomez-Garza, ´ R. M., and Milan-Carrillo, J. (2000). Hard-to-cook Phenomenon In Chickpeas ´ (Cicer arietinum L): Effect of Accelerated Storage on Quality. Plant Foods Hum. Nutr., 55:229-241.
Rockland, L. B., and Jones, F. T. (1974). Scanning Electron Microscope Study on Dry Beans. Effect of Cooking on Cellular Structure of Cotyledons in Rehydrated Lima Beans. Journal of Food Science, 39, 342–346
Sarimurat, M. S., Kulaz, H., nad Erdin, F. (2022). Determination of Yield and Quality Characteristics of Some Chickpea (Cicer arietinum L.) Varieties Cultivated in Van Ecological Conditions. MAS Journal of Applied Sciences, 7(1), 128-138.
Sethi, S., Samuel, D. V. K., and Khan, L. (2011). Development and Quality Evaluation of Quick Cooking Dhal—A Convenience Product. J. Food Sci. Technol. 51:595-600.
Singh K.B., Williams P.C. and Nakkoul H., (1986). Influence of the Winter Planting on Yield and Some Quality Parameters of Kabuli –Type Chickpeas. Field Crops Res.
Singh, N., Sekhon, K.S., Bajwa, U., Goyal, S. (1992). Cooking and Parching Characteristics of Chickpea (Cicer arietinum L.) Journal of Food Science and Technology, 29 (1992), pp. 347-350
Singh, U. (1999). Cooking Quality of Pulses. Journal of Food Science and Technology, 36, 1–14.
Tripathi, S., Sridhar, V., Jukanti, A. K., Suresh, K., Rao, B. V., Gowda, C. L. L., and Gaur, P. M. (2012). Genetic Variability and Interrelationships of Phenological, Physicochemical and Cooking Quality Traits in Chickpea. Plant Genet. Resour. 10:194-201.
Waldia, R. S., Singh, V. P., Sood, D. R., Sardana, P. K., and Mehla, I. S. (1996). Association and Variation among Cooking Quality Traits in Kabuli Chickpea (Cicer arietinum L.). Journal of food science and technology (Mysore), 33(5), 397-402.
Wang, N., Daun, J. K., and Malcolmson, L. J. (2003). Relationship between Physicochemical and Cooking Properties, And Effects of Cooking on Antinutrients, of Yellow Field Peas (Pisum sativum). J. Sci. Food Agric. 83:1228-1237.
Williams P.C., EL-Haramein F.J., Nakkoul H. and Rihavi S., (1986). Crop Quality Evalution Methods and Guide lines. ICARDA, Alepro, Syria, 142p.
Williams, P. C., Nakoul, H., and Singh, K. B. (1983). Relationship between Cooking Time and Some Physical Characteristics in Chickpea (Cicer Arietinum L.). Journal of Science of Food and Agriculture, 34, 492–496.
Wood, J. A., and Harden, S. (2006). A method to Estimate the Hydration and Swelling Properties of Chickpeas (Cicer arietinum L.). J. Food Sci. 71: E190-E195
Yousif, A. M., Kato, J., and Deeth, H. C. (2007). Effect of Storage on the Biochemical Structure and Processing Quality of Adzuki Bean (Vigna angularis). Food Rev. Int. 23:1-33.